kelly:nich_regrcmdr

Nicho Sucessional - Roteiro no Ecovirtual

Normalmente a competição entre as espécies é interpretada como uma resposta tudo ou nada (acontece ou não acontece) instantânea. Ou seja, o competidor superior elimina de imediato o seu concorrente. Mas será que este processo realmente acontece assim, de forma tão abrupta?

Observando a natureza, perceberemos que plantas com alta capacidade de colonização geralmente apresentam altas taxas metabólicas (respiração, fotossíntese e alocação de tecido reprodutivo), o que lhes possibilita um crescimento e reprodução mais rápidos. Será que esta característica deve ser considerada uma vantagem adicional na interação competitiva?

Pense em uma floresta, onde uma clareira foi aberta por uma árvore caída e que ambas espécies, a melhor competidora e a melhor dispersora, cheguem ao mesmo tempo. Nessa situação, imaginar que a melhor competidora irá excluir a outra imediatamente não parece muito razoável, simplesmente porque não há ainda a limitação de recurso. Por outro lado, a espécie que tiver maior taxa de crescimento poderá se reproduzir antes que a limitação de recurso ocorra e ela seja eliminada por competição.

Esse período, antes da redução de recurso no ambiente, cria um nicho efêmero, ou seja, transitório, que foi chamado por Pacala e Rees (1998) de nicho de sucessão. Esses autores desenvolveram um modelo simples para testar suas ideias.

Para começar, eles estabeleceram cinco estados possíveis no sistema:

  • Vago: nenhuma das espécies

  • Inicial: ocupado apenas pela espécie de sucessão inicial (melhor dispersora)

  • Sensível: ocupado pela espécie competidora superior (melhor competidora), mas suscetível a invasão da inicial, pois o recurso ainda é abundante

  • Misto: ocupado por ambas espécies, a caminho da exclusão competitiva

  • Resistente: ocupado apenas pelo competidor superior e resistente à invasão

Dado esses estados, o processo de sucessão teria algumas possibilidades de trajetórias:

  • VAGO → INICIAL → MISTO → RESISTENTE

  • VAGO → SENSÍVEL → MISTO → RESISTENTE

  • VAGO → SENSÍVEL → RESISTENTE

Note que, embora todas as trajetórias comecem de um espaço vago e terminem com o competidor superior ocupando todo o espaço e resistente a invasões, há estados intermediários diferentes, o que evidencia que podem acontecer processos distintos até que o recurso seja escasso e, então, haja competição pelo mesmo.

Resumindo, temos as seguintes trajetórias:

Vamos usar esta figura ilustrativa para nos auxiliar a criar nosso modelo. Para simplificar, ao invés de modelarmos cada uma das espécies, vamos modelar o estado e suas transições, de uma forma similar que modelamos os estados dos indivíduos em uma população (lembra da aula dos modelos matriciais de Leslie e Leftockvich?).

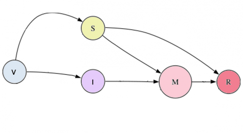
Veja o esquema abaixo para entender as transições de estado:

Nesse modelo temos quatro parâmetros c, a, m, g :

  • c: taxa de colonização da espécie competidora superior
  • a: taxa colonização da espécie de sucessão inicial relativa à competidora superior
  • m: taxa de mortalidade ou distúrbio (linhas pontilhadas)
  • g: taxa de exclusão competitiva

Com esses quatro parâmetros é possível modelar a variação da proporção de estados ao longo do tempo, por meio das expressões que aparecem nas transições da figura, que indicam as probabilidades de que as mesmas ocorram. Note que, as linhas cheias indicam aumento na proporção e linhas interrompidas diminuições.

Para saber a variação de um estado, é necessário somar todas as expressões aplicadas ao estado origem, onde as entradas são positivas e as saídas negativas. Por exemplo, a variação no estado SENSÍVEL é dada por:

$$ (dS)/dt = [c(S + R + M)] V - [ac(M+I)] S - gS - mS $$

Colocando o S em evidência, temos:

$$ (dS)/dt = [c(S + R + M)] V - [ac(M+I) + g + m] S$$

onde o termo [c(S + R + M)] está aplicado a Vago e está positivo por ser entrada enquanto o termo [ac(M+I) + g + m] está aplicado a Sensível e, por estar saindo do mesmo, é negativo.

2026/03/27 14:04

Para prosseguir você deve ter o ambiente R com os pacotes Rcmdr e Ecovirtual instalados e carregados. Se você não tem e não sabe como ter, consulte a página de Instalação.

Caso já tenha o R e pacotes instalados

Carregue o pacote principal RcmdrPlugin.EcoVirtual pelo menu do R Pacotes > Carregar Pacotes, ou pela linha de comando com o código:

 library("RcmdrPlugin.EcoVirtual") 
2026/03/27 14:04

Vamos agora usar uma função para modelar a dinâmica de sucessão desse modelo. Abra o menu do EcoVirtual no Rcmdr: EcoVirtual>Multi species> Niche regeneration… A seguinte janela de menu se abrirá:

Vamos adotar o Better competitor como sp1 e o Poor competitor como sp2. Segue abaixo a descrição dos parâmetros do modelo:

Opção Parâmetro Definição
Data set objeto no R guarda os resultados
Simulation Arena Conditions Parâmetros básicos da simulação
Maximum time tmax número de iterações da simulação
Columns cl número de colunas de habitat da paisagem
Rows rw número de linhas de habitat da paisagem
Initial Stages Proportions Proporção inicial dos estágios das manchas
Early Stage er proporção de manchas ocupadas no inicio pela sp2
Susceptible sc proporção inicial com a sp1 que ainda pode ser colonizada tb por sp2
Mixed mx proporção inicial com ambas espécies
Resistant rs proporção inicial com a sp1 que não pode mais ser colonizada pela sp2
Colonization rates Parâmetros de colonização
Better competitor c1 c: coeficiente de colonização da sp1
Poor competitor c2 a*c: coeficiente de colonização da sp2
General Parameters Parâmetros gerais
Competitive exclusion ec g: probabilidade de transição do estágio Sc e Mx para o Rs
Disturbance dst m: proporção de manchas de todos os estádios que fica vaga

Vamos fazer um teste com os seguintes parâmetros:

tmax=50, 
cl=100,
rw=100,   
er=0.08, 
sc=0.02, 
mx=0, 
rs=0,
c1=0.2, 
c2=0.8,
ec=0.5, 
dst=0.04

Neste cenário, temos uma taxa de exclusão competitiva alta e baixo distúrbio.

Exercícios

1) Identifique qual parâmetro faz com que a taxa de exclusão competitiva seja alta. E qual faz com que o distúrbio seja baixo?

2) Observe como as curvas se comportam. Há coexistência?

Como você deve ter observado, o cenário simulado apresenta forte competição, onde a espécie competidora superior elimina a melhor colonizadora. Será que sempre esse padrão é mantido?

Vamos fazer mais algumas simulações. Guarde seus resultados para comparações.

  1. Continue com os mesmos parâmetros e apenas diminua a exclusão competitiva para 10% (ec=0.1).
  2. Mantenha a exclusão competitiva em 10% e aumente o distúrbio para 10% (dst=0.1).
  3. Agora, volte o distúrbio para 4% (dst=0.04) e coloque ambas as espécies com mesma taxa de colonização (c1=0.4, c2=0.4).

Perguntas

  1. Houve coexistência em algum dos cenários? Se sim, quais parâmetros explicam tal fato?
  2. Em algum cenário a espécie pior competidora foi favorecida? Se sim, qual sua hipótese para tal fenômeno? Esse resultado era esperado?
2026/03/27 14:04
  • Pacala, S. & M. Rees. 1998. Models suggesting field experiments to test two hypotheses explaining successional diversity. The American Naturalist 152(2): 729:737.
  • Stevens, M.H.H. (2009) A primer in ecology with R. New York, Springer. capítulo 9
2026/03/27 14:04

RCMDR comunidades sucessão

  • /home/adalardo/farm/ecovirtual/data/pages/kelly/nich_regrcmdr.txt
  • Última modificação: 2026/03/25 19:31
  • por 127.0.0.1