Baú da Leda
Atributos funcionais
Litter Quality
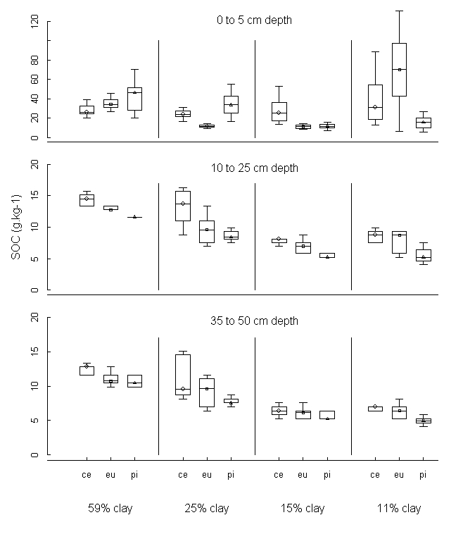
Soil Organic Carbon as affected by forest use
Scripts:
Figure 1. SOC as function of forest type.
Figure 2. C:N relationship as function of forest type.
Forest floor is affected by forest use (layers morphology and litter quality losses):
Decomposition in 3 tropical forests in SE Brazil
Diversidade Funcional
De que modo as mudanças no uso da terra alteram a diversidade funcional?
As mudanças no uso da terra alteram a composição e estrutura das comunidades vegetais e por tanto, os atributos funcionais nela presentes. Sabemos que as perdas de biodiversidade implicam em perdas de diversidade funcional, mas como são essas perdas?
⇒ Algumas perguntas: → Quais os atributos mais afetados? → Quais os graus de alteração? → Há alterações na convergencia/divergencia? → Quais índices de DF refletem melhor as mudanças ocorridas? → Há diminuição da resiliência? Testar avaliando agrupamentos e descontinuidades em carateres funcionais (conteúdo N) presentes. → Como tudo isso varia com a latitude?
Comparamos 3 situações de uso da terra contrastantes, constituindo um gradiente de diversidade que reflete o histórico de uso da terra comum na região:
- floresta primária (parcela permanente do Cabo Frio na Fazenda ESTEIO)
- pastagem (fazenda ESTEIO)
- capoeiras crescidas em áreas de pastagem abandonada (fazenda ESTEIO)
Atributos funcionais:
⇒ Protocolos de coleta: Australian Journal of Botany (2003)51:335-380 cornelissen_etal_2003.pdf
⇒ Coletas de ramos das espécies que compreendem 70% da biomassa
- Na pastagem: coletar tudo em 15 quadrantes (3 réplicas X 5 subréplicas) de 1x1m
- Nas capoerias: coletar sps de interesse no entorno das áreas do Projeto Pioneiras (transectos 5 e 6)
⇒ Atributos funcionais coletados:
- área foliar específica, força tensil foliar, massa seca foliar, área foliar
- densidade da madeira, DAP, altura máxima
- N e P foliar * E C??? é bom p fazer C/N e C/P - FAZER URGENTE!!
**ANDAMENTO 2010**
- Mata secundária: Capoeira de Vismia (pastagem abandonada): Dados de fito do Projeto Pioneiras e histórico de uso (dissertação do Pinguel) - OK. Procurar tese da aluna do Luizão sobre ciclagem d nutrientes em cronosequencia de capoeira
- Falar com Rita para que libere o uso dos dados do projeto Pioneiras
- Pastagem: Amostragem de vegetação em 15 quadrantes (3 réplicas X 5 subréplicas) de 1mX1m - OK.
- Mata primária: Coletas fechadas para as espécies que repressentam 70% da biomassa - OK.
Diversidade Funcional e Resiliência
Perguntas (pensar isso melhor. Redefinir e fechar as perguntas)
- Menor diversidade funcional implica em menor resiliência?
- Como varia a diversidade funcional com a riqueza (número de sp ou gêneros presentes)? e com grupos particulares de espécies ou gêneros?
Quantificando a diversidade funcional: CWM médias ponderadas para cada atributo funcional e comunidade + Divergência funcional (medidas de distribuição) ou através do cálculo de Índices de Diversidade Funcional (FDI) para cada comunidade
Quantificando a resiliência: Identificar descontinuidades e agregações em atributos funcionais e/ou estruturais dentro e entre escalas allen_etal_2005.pdf
Decomposiçao:
Delineamento experimental fechado. As coletas de material par ao DENdominantes foram feitas no final de Septembro 2009 - Esperando permiso exportação. O experimento DENambiente (material padrao) deberia ser instalado no fim de Outobro ou inicio de novembro 2010.
- DEN - caso continuemos, instalamos os exps p/ testar ambientes (bolsas de material padronizado confeccionadas na Argentina) em Outubro 2010.
Objetivos
Relacionar atributos (funcionais e/ou estruturais) com processos (DECOMPOSIÇÃO) do ecossistema.
- Avaliar as diferenças produzidas pelas mudanças no uso da terra sobre as comunidades vegetais estudadas através do seu efeito sobre a a composição específica (Riqueza) e sobre a diversidade funcional. Mudam os graus de convergência e divergência funcional em função do tipo de uso da terra?
- Avaliar a diversidade funcional como controladora da ciclagem de nutrientes. Há alterações no processo de decomposição em função das alterações produzidas pelo uso da terra na diversidade funcional? Com quê aspectos estão associadas tais alterações?
- Quantificar a relação entre a diversidade funcional e a decomposição no gradiente de intensidade de uso estudado
- Definir quais sao os atributos funcionais mais importantes para a ciclagem de nutrientes (mais fortemente relacionados com a decomposição)
Para tal:
- Comparar medidas de tendência central e distribuições de cada atributo em cada comunidade, além da riqueza específica
- Testar experimentalmente
- Usar Modelos de Regressão Generalizados entre Índices de Diversidade Funcional e taxas de decomposição
- Escolha de Modelos de Regressão entre atributos funcionais e taxas de decomposição
Experimentos de decomposição
Todos os fatores que influenciam a decomposição diferem entre floresta e pastagem, ou seja, sao alterados pelas atuais mudanças no uso da terra:
- Ambiente de decomposição: umidade e T - diversidade estrutural, dossel (ExpDEC1)
- Material a decompor (composição e quantidade): N e P foliar - diversidade funcional (ExpDEC2)
- Comunidade decompositora: fauna do solo e microorganismos - diversidade funcional
Objetivo 2: Avaliar a importância da diversidade funcional como controladora da ciclagem de nutrientes através do seu efeito sobre as taxas de decomposição em situações de uso da terra contrastantes (estudamos um gradiente de uso que representa tipos comuns na região)
As alterações na diversidade funcional produzidas pelas mudanças no uso da terra sao acompanhadas de diferenças nas taxas de decomposição. Tais diferenças: estão associadas com
- Alterações no microclima?
- A serrapilheira produzida em cada ambiente, com qualidades químicas contrastantes?
- Efeitos sinérgicos entre o microclima e a qualidade química da serrapilheira, passíveis de aumentar a resposta em situações onde há maiores alteraçoes da diversidade funcional?
Para testar essas ideias experimentalmente:
- Decompor material padrão em cada ambiente
- Decompor o material produzido in loco em casa de vegetação
- Decompor o material produzido in loco em cada ambiente
Decidir se vamos decompor material foliar de espécies conhecidas (de cada comunidade vegetal) ou se vamos colocar material coletado aleatoriamente em cada formação (Exp 3). Não tem sps dominantes na mata, mesmo assim, Flávio Luizão recomendou usar misturas de espécies conhecidas ao invés de misturas de folhas coletadas aleatoriamente. Ele escolheria entre 8 e 10 espécies freqüentes com qualidades químicas diferentes e coletaria as folhas delas para o experimento. Ele diz que isso vai facilitar a discussão dos resultados. (Parece-me que o pessoal da decomposição sempre quer saber o quê que eles estão decompondo! rss)
Ainda não tomei uma decisão. Vantagens/desvantagens:
Por um lado, trabalhar com sps conhecidas permitiria relacionar os tratos funcionais com as taxas de decomposição no nível de espécie. No caso de usar misturas aleatórias como substrato, a gente só poderia discutir no nível da comunidade (o que, por outra parte, é o nosso objetivo). Por outro lado, me parece artificial e forçado, essa história de escolher 10 espécies da mata e instalar os coletores embaixo delas em pontos escolhidos a priori me incomoda.
Outro problema que vejo em escolher as espécies é decidir quantas espécies usar em cada mistura. Um número fixo para cada ambiente, como 8 espécies bem representadas, por exemplo? Ou um número de espécies proporcional ao número existente na comunidade, como 10 na mata, 8 nas capoeiras e 5 na pastagem, por exemplo? A gente sabe que a diversidade é diferente em cada ambiente, mas decidir colocar misturas com diferentes números de espécies a priori vai fazer com que a gente não possa responder se as diferenças encontradas são devidas à qualidade química do material ou à diversidade específica do material.
Outras ideias...
Fazer experimentos de diversidade funcional na recomposição de Restinga
Nucleação / Avaliar núcleos com diferentes graus de df
Registros temporais de dados
Trabalhar com os dados de diâmetro (o diâmetro é um atributo funcional) registrados de 5 em 5 anos nos fragmentos do pdbff (por ter tamanhos diferentes estão submetidos a diferentes graus de distúrbio). Tenho registro de perdas de diversidade (nível taxonômico: gênero)
Essas perdas, têm originado perdas funcionais? Nesse caso, Tem diminuido a resiliência com a diversidade funcional? Contribuição da composição funcional à resiliência - Comparar géneros abundantes versus raros.
