projetos:divfuncional:restrito:filtro:alometria_das_plantulas

Alometria das plântulas

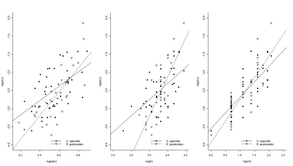
Relações entre massa seca e diâmetro, altura e número de folhas Figura 1. Relações alométricas entre biomassa (massa seca) e diâmetro do caule à altura do solo, altura e número de folhas das plântulas de Rudgea jasminoides e Guapira opposita de dois fragmentos florestais (Médico e Theomar) de mata secundária.

G. oppositalog(ms) = -4.3508 + 1.0121*log(das) + 0.1293*log(h) + 0.6626*log(nf)
R. jasminoideslog(ms) = -7.9182 + 0.5232*log(das) + 1.0972*log(h) + 0.7925*log(nf)
EspécieFg.l.p
G. opposita0.6124.343,422.76e-09
R. jasminoides0.8350.183,273.59e-11
  • /home/adalardo/farm/labtrop/data/pages/projetos/divfuncional/restrito/filtro/alometria_das_plantulas.txt
  • Última modificação: 2026/03/27 13:51
  • por 127.0.0.1