projetos:divfuncional:restrito:filtro:analises_exploratorias

Análises exploratórias

script


Figura 1. Variação (final - inicial) da biomassa média por quadrado em função do local (bloco); cada bloco possui oito observações (médias de cada tratamento); as diferenças entre os blocos refletem a heterogeneidade ambiental (uma característica da mata que considero fundamental é a abertura do dossel, que podia variar consideravelmente entre os blocos).









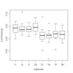
Figura 2. Padrão geral para variação (final - inicial) da biomassa média por quadrado em função do tratamento.











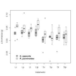
Figura 3. Variação (final - inicial) média da biomassa por quadrado em função do tratamento e da espécie.











Figura 4. Variação da biomassa (final - inicial) em função do tratamento de cada fator isoladamente.











Figura 5. Variação da biomassa (final - inicial) em função do tratamento de cada fator isoladamente e da espécie.


Figura 6. Gráficos quantis-quantis da variação (final - inicial) da biomassa para as duas espécies.


Figura 7. Desvios em função da média variação da biomassa (final - inicial) em cada tratamento para as duas espécies.

  • /home/adalardo/farm/labtrop/data/pages/projetos/divfuncional/restrito/filtro/analises_exploratorias.txt
  • Última modificação: 2026/03/27 13:51
  • por 127.0.0.1