Artigo de Qualificação
Tarefas
- filogenias dos gêneros (só para famílias com mais de dois gêneros como Leg, Sapo e Lecy)
- dados de solo PDBFF e PPkm37
- organizar planilhas do km41
- protocolo de solos
Esquema
Filtragem ambiental é tida como a principal causa, senão a única, da convergência de atributos funcionais. Ao mesmo tempo, credita-se a divergência funcional à competição. Novos pontos de vista, no entanto, questionam esse estado de coisas e argumentam que tanto filtragem ambiental pode levar à divergência como competição pode levar à convergência de atributos funcionais. O objetivo deste trabalho é lançar luz sobre esse debate através da análise de uma comunidade arbórea de terra firme, onde assume-se que a competição entre os indivíduos seja muito grande e o ambiente seja relativamente homogêneo. Esse é um local ideal para se testar hipóteses relacionadas com competição, já que é pouco provável que haja um gradiente ambiental causando convergência/divergência de atributos funcionais. A questão principal é controlar ora a competição, ora o filtro ambiental. Podemos controlar o filtro trabalhando em uma escala menor, em locais homogêneos como o Cabo Frio e o Km37. Para controlar a competição, teríamos que selecionar parcelas mais ou menos densas, assumindo que quanto maior a densidade de indivíduos, maior a competição. Mas há ainda uma terceira fonte de convergência/divergência: a filogenia. Para testar sua influência vamos inseri-la e removê-la de ambas as análises.
Estratégia
- Testar a competição
Rodar a análise para os hectares separadamente (ambiente físico homogêneo), usando a densidade de árvores (área basal) como variável ambiental (gradiente de competição).
- Testar o filtro ambiental
Rodar a análise com todos os hectares, usando solo como variável ambiental (gradiente ambiental), mas controlando a densidade (competição constante).
Filogenia, competição ou filtros ambientais: qual o responsável pela convergência funcional em comunidades arbóreas?
Resumo
Introdução
- Caracteres funcionais (definir como Violle: caracteres que afetam o desempenho dos indivíduos)
- Convergência X divergência
- Filtros e competição
- Sinal filogenético
- Florestas tropicais (por que esse é um bom modelo?)
Objetivos
- Testar a funcionalidade de caracteres vegetativos através da observação de padrões de divergência e deslocamento de caracteres ao longo de gradientes ambientais.
- Testar o sinal filogenético nesses caracteres funcionais (estrutura filogenética da comunidade).
- Testar se a divergência ocorre somente em um gradiente de competição e se deslocamento ocorre somente em um gradiente abiótico (edáfico).
- Testar se existe um ótimo e como ele varia ao longo dos gradientes.
Materiais e métodos
Local
- Clima, solo, relevo e contexto (história de uso, PDBFF)
- Características da vegetação: altura do dossel, densidade, riqueza, diversidade
- Parcelas
Espécies
- Lista (espécies, famílias)
Variáveis ambientais
- Solo/topografia
- Densidade
Atributos funcionais
- SLA
- LA
- LDMC
- LTS
- LT
- LN/LP (?)
- MH
- WD
- dispersal mode
Filogenia
Análises
- Ordenação das parcelas
- Escalas: local e regional
- Dados de entrada:
- E - solo/topo + área basal
- Sp - filogenia dos gêneros (pelo menos)
- B - atributos vegetativos(foliares, densidade da madeira, altura máxima)
- W - índice de área de cobertura / valor de importância (abund. rel + domin. rel. + freq. rel.)
- Output:
- TCAP
- TDAP
- TCAP/TDAP
- PSS
- SYNCSA/MULTIV
- Pool de espécies
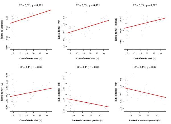
Para se detectar o sinal filogenético foi calculada, através do Syncsa, a correlação entre as matrizes de similaridade Sf e Sb. Foram usadas as espécies da lista feita com base no Cabo Frio, das quais apenas as que tinham pelo menos 4 dos 7 atributos vegetativos analisados (sla, ls, ldmc, lts, lt, wd e mh) calculados com base em pelo menos 3 réplicas. Foram feitas 10000 aleatorizações, com alfa crítico de 0,05.
Resultados
Ordenações
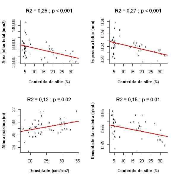
Relação densidade ~ textura do solo
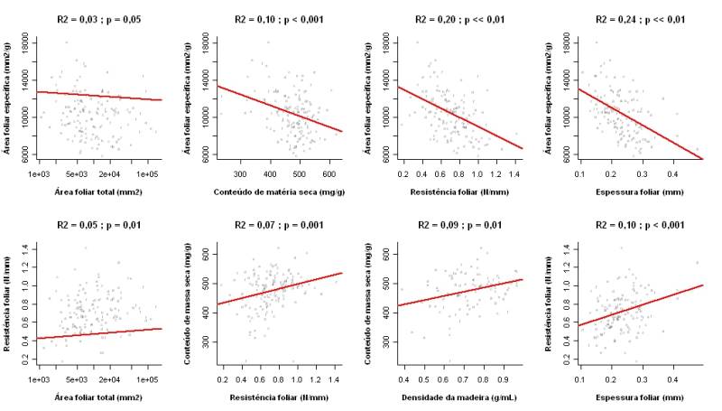
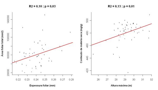
Relações entre os atributos
Análise exploratória
Há convergência no gradiente de competição, mas ela é explicada pela filogenia. Há convergência e divergência no gradiente edáfico e ela não é só explicada pela filogenia.
Casos
Discussão
O sinal filogenético pode significar duas coisas: ou que o grupo evoluiu para ocupar aquele nicho há muito tempo atrás ou que o sucesso daquelas espécies naquele ponto do gradiente se deve a outros caracteres que não os contemplados.
Agradecimentos
Referências
Apêndice
- Lista de espécies (abundâncias, áreas basais, atributos)
- Dados das parcelas










