Qualificação
- PRAZO ENTREGA: Terça-feira (27/10) pela manhã
- Protocolar solitação do exame. OK
Artigo Versão Final
- Entregue dia 27/10
- sugestão de banca: Adriana, Aidar, Tadeu
Artigo 27 out 09
- Agradecimentos inclusos.
- Anexo com códigos do R.
Artigo 26 out 09 - Primeira versão completa
Artigo 25 out 09
- Falta resumo
- Discussão incompleta
Artigo 21 out 09
- Incorporei as modificações ao artigo.
- Detalhei melhor Materiais e Métodos.
- Título definido: Leguminosas facilitam outras espécies arbóreas? Análise com modelos nulos em uma floresta de restinga
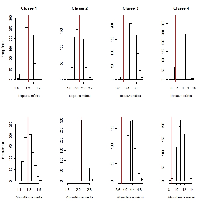
Gráficos 21 out 09
- Fiz os gráficos de duas maneiras, com classes nas linhas e nas colunas. Achei melhor o gráfico com classes nas colunas, a visualização dos valores dos eixos é melhor. Exemplos das duas formas abaixo, espécie Andira…
- Não consegui uma forma de colocar o nome da espécie como título principal da janela.
Artigo 20 out 09
- Modelos nulos X último resultado
- Definir título
- Prazo título (21/10)/ Entrega (23/10)!!!
qualifjulia20out09.doc — Alexandre Adalardo 2009/10/20 16:33

