projetos:outros:legfacilita:start

Facilitação Leguminosa

Essa é a pagina para compartilhar arquivos do artigo Facilitação de Leguminosas É uma área exclusiva para os autores do manuscrito, se o seu nome não é: Camila, Julia ou Alexandre, CAIA FORA!

Mestrado Julia Stuart

Aqui estão os resultados torus brutos. É uma lista com duas tabelas, uma com o torus normal outra com o Torus para o mapa transposto das Legs (uma alternativa para aumentar as simulações) Os resultados são referentes as análises de 05 de janeiro de 2011.

Arquivos de Figuras

TORUS

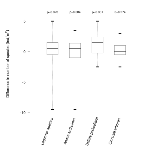
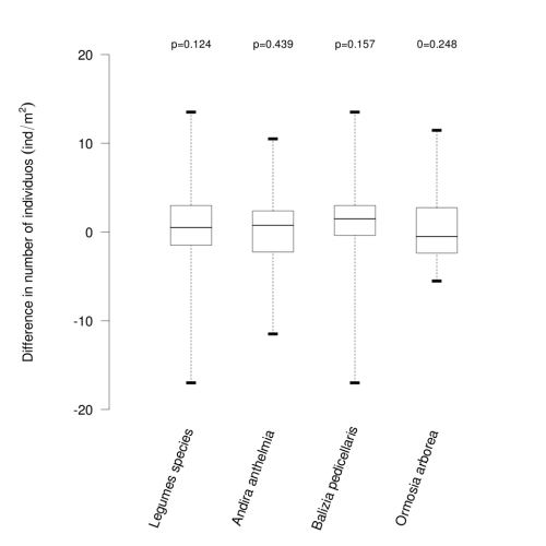
Andira

Andira

Balizia

Ormosia

Neutra Andira

Negativa Balizia

Positiva Ormosia

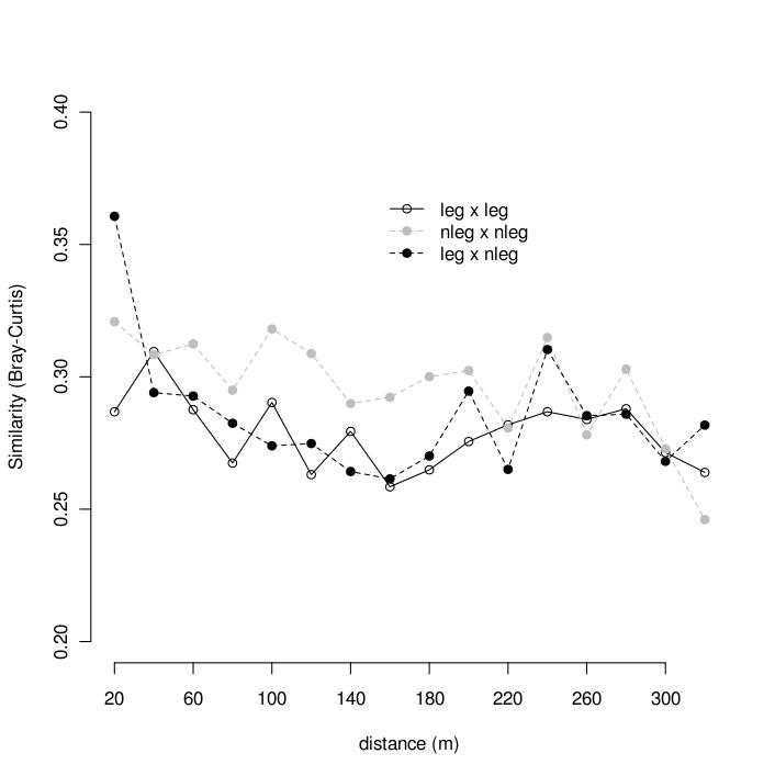
Entre Copas de Leguminosa

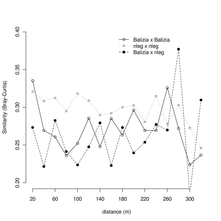
Entre Copas de Balizia

  • /home/adalardo/farm/labtrop/data/pages/projetos/outros/legfacilita/start.txt
  • Última modificação: 2026/03/27 13:51
  • por 127.0.0.1