O mundo Neutro é K estrategista
Usando o R-cloud
Estou usando o cloud do European Bioinformatic Institute (EBI) que roda o R no cluster deles. — Alexandre Adalardo 2011/03/07 00:04
- Veja informações sobre o serviço online de uso de cluster R para as simulações
- Estou usando a interface java para acessar o projeto:
IDÉIAS
— Alexandre Adalardo 2011/03/12 15:26
- Rodar modelos sem variação para ver se emergem K estrategistas quando não há variação
- Aumentar o cv para verificar se há uma estabilização da coexistência de estratégias distintas (K & R) e qual o limiar de variação necessária…
Rodei quatro simulações com as seguintes combinações de parâmetros:
Rodando simulações no R-cloud
— Alexandre Adalardo 2011/03/07 00:04
Resultados
Número de Espécies
A figura abaixo reporta o número de espécies por iteração:
- HÁ PERDA DE ESPÉCIES TENDENDO A UMA ESTABILIZAÇÃO COM COEXISTÊNCIA
- O AUMENTO NO NÚMERO DE PROPÁGULOS PRODUZIDOS EM MÉDIA POR INDIVÍDUO RETARDA A PERDA DE ESPÉCIES
- O AUMENTO DO CV. TAMBÉM!
- O SISTEMA ESTABILIZA COM MAIOR NÚMERO DE ESPÉCIES QUANDO COMEÇA COM POPULAÇÕES MAIORES
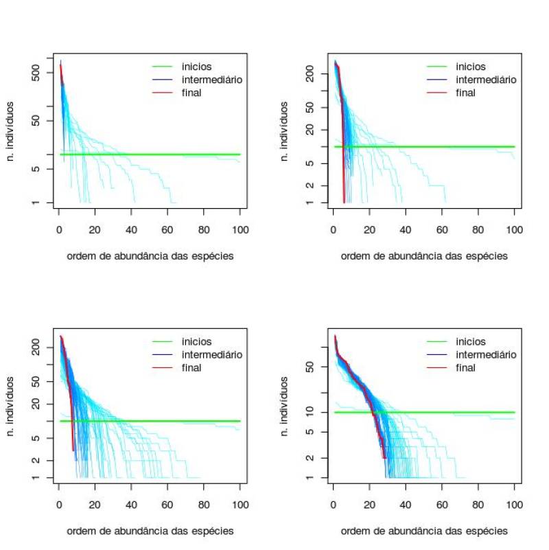
Distribuição de Abundância
Abaixo está a distribuição de abundância das quatro simulações: situação inicial (neutra) é apresentada em verde e a final em vermelho. As curvas azuis são de situações intermediárias ao longo da simulação. Há clara trajetória ao longo das simulações, não verifiquei nenhuma trajetória erratica.
04 maio 2011
Rodando no Rcloud:
### Simulações de Cenários Nulos #### ## 04 de maio de 2011 #S = número de espécies da comunidade : inteiro positivo #J = número de indivíduos da comunidade (tamanho da comunidade): inteiro positivo #xi = número de propágulos que o indivíduo i produz por intervalo #cv = proporção de variação na produção de propágulos em relação a sua esperança: real positivo #X = total de propágulos que um indivíduo produz (esforço reprodutivo total): inteiro positivo ### Aumentando o número de indivíduos da comunidade ## Já rodados: # padrão 1: S= 100, j=10, X=1.000, cv=0.1, ciclo=1e6, step=100 # cenario 2: S= 100, j=10, X=10.000, cv=0.1, ciclo=1e6, step=100 # cenário 3: S= 100, j=10, X=10.000, cv=0.4, ciclo=1e6, step=100 # cenário 4: S= 100, j=100, X=100.000,cv=0.4, ciclo=1e6, step=100 ## A PARTIR DO CENÁRIO 2 VARIANDO O CV: # cv=0.01 sn_cv0.01=simula.neutra.step(S=100, j=10,X=10000, cv=0.01, ciclo=1e6, simula=100) # cv=0.05 sn_cv0.05=simula.neutra.step(S=100, j=10,X=10000, cv=0.05, ciclo=1e6, simula=100) # cv=0.15 sn_cv0.15=simula.neutra.step(S=100, j=10,X=10000, cv=0.15, ciclo=1e6, simula=100) # cv=0.3 sn_cv0.3=simula.neutra.step(S=100, j=10,X=10000, cv=0.3, ciclo=1e6, simula=100) # cv=0.6 sn_cv0.6=simula.neutra.step(S=100, j=10,X=10000, cv=0.6, ciclo=1e6, simula=100) # cv=0.9 sn_cv0.9=simula.neutra.step(S=100, j=10,X=10000, cv=0.9, ciclo=1e6, simula=100) # cv=1.2 sn_cv1.2=simula.neutra.step(S=100, j=10,X=10000, cv=1.2, ciclo=1e6, simula=100) # cv=1.6 sn_cv1.6=simula.neutra.step(S=100, j=10,X=10000, cv=1.6, ciclo=1e6, simula=100) # cv=2.0 sn_cv2.0=simula.neutra.step(S=100, j=10,X=10000, cv=2, ciclo=1e6, simula=100)

