Resultados
Mortalidade de Rudgea
str(rud.sob)
<box round blue left>
data.frame': 126 obs. of 4 variables:
$ fragmento: chr "jea" "jea" "jea" "jea" ... $ parcela : int 1 2 3 9 10 11 12 14 16 17 ... $ vivas : int 1 2 5 2 1 10 3 2 1 4 ... $ mortas : int 0 0 0 0 0 0 0 0 0 0 ...
</box>
factor(rud.sob$fragmento)→frag
frag[1] jea jea jea jea jea jea jea jea jea jea jea jea jea jea jea jea jea jea [19] jea jea jea osa osa osa osa osa osa osa osa osa osa osa osa osa osa osa [37] osa osa osa osa osa osa osa med med med med med med med med med med med [55] med med med med med med med odo odo odo odo odo odo odo odo odo odo odo [73] odo odo odo teo teo teo teo teo teo teo teo teo teo teo teo teo teo teo [91] teo teo teo teo teo teo teo teo bic bic bic bic bic bic bic bic bic bic [109] bic bic bic bic bic bic bic bic bic bic bic bic bic bic bic bic bic bic Levels: bic jea med odo osa teo
y.rud=cbind(rud.sob$mortas,rud.sob$vivas)
mod.rud1=glm(y.rud~frag,family=binomial)
mod.rud1
Call: glm(formula = y.rud ~ frag, family = binomial) Coefficients: | (Intercept) | fragjea | fragmed | fragodo | fragosa | fragteo | | -2.90872 | -17.27568 | -0.08701 | -0.22677 | 0.82928 | -0.20479 | Degrees of Freedom: 125 Total (i.e. Null); 120 Residual Null Deviance: 81.81 Residual Deviance: 67.97 AIC: 113.3
anova(mod.rud1,test=“Chi”)Analysis of Deviance Table Model: binomial, link: logit Response: y.rud Terms added sequentially (first to last) | | Df | Deviance |Resid. Df |Resid. Dev| P(>|Chi|)| | NULL| | | 125 | 81.813 | | | frag | 5 | 13.843 | 120 | 67.969 | 0.017|
Profundidade Serrapilheira x Densidade Rudgea
Como a densidade de Rudgea é uma contagem, temos problemas para analisar com os modelos lineares normais (muito zeros, variancia heterogenea, e erro não normal). Partimos portanto para um modelo generalizado que leva em conta essas variantes
Primeiro modelo é uma analise de ancova generalizada, com distribuição do erro poisson
glm.prof1←glm(abundR~mediana*flor,data=profund,family=poisson)
summary(glm.prof1)
Call:
glm(formula = abundR ~ mediana * flor, family = poisson, data = profund)
Deviance Residuals:
Min 1Q Median 3Q Max
-5.7440 -2.1695 -0.7122 0.6531 10.1836
Coefficients:
Estimate Std. Error z value Pr(>|z|)
(Intercept) 2.51643 0.17804 14.134 < 2e-16 ***
mediana -0.15531 0.04716 -3.294 0.000989 ***
florJeanzão -0.63525 0.48043 -1.322 0.186082
florMédico -0.94617 0.39394 -2.402 0.016315 *
florOdorico -0.47753 0.37118 -1.286 0.198271
florOsasco 0.92727 0.24978 3.712 0.000205 ***
florTheomar 0.47696 0.23689 2.013 0.044072 *
mediana:florJeanzão 0.02995 0.12870 0.233 0.815982
mediana:florMédico 0.15269 0.06139 2.487 0.012879 *
mediana:florOdorico -0.03585 0.08060 -0.445 0.656442
mediana:florOsasco -0.03879 0.05440 -0.713 0.475751
mediana:florTheomar 0.11292 0.05754 1.963 0.049700 *
Esse modelo nos indica que há relação entre a densidade de Rudgea e a profundidade da serrapilheira Além disso, nos indica que isso está relacionado tb. com a floresta, ou seja há interação entre floresta e profundidade
Para confirmar isso, ou seja que há interação e que as inclinações são difererntes, criamos outro modelo sem a interação
glm.prof2←glm(abundR~mediana+flor,data=profund,family=poisson)
e comparamos ambos:
anova(glm.prof1,glm.prof2, test=“Chi”)
Analysis of Deviance Table Model 1: abundR ~ mediana * flor Model 2: abundR ~ mediana + flor Resid. Df Resid. Dev Df Deviance P(>|Chi|) 1 168 1236.54 2 173 1260.31 -5 -23.78 0.0002397
a inclinação é significantemente diferente para as florestas, portanto retemos a interação no modelo.
Uma outra forma de olhar o modelo é pela tabela de anova (não é necessário, mas pode ser mais fácil pela familiaridade)
anova(glm.prof1,test=“Chi”)
Analysis of Deviance Table
Model: poisson, link: log
Response: abundR
Terms added sequentially (first to last)
Df Deviance Resid. Df Resid. Dev P(>|Chi|)
NULL 179 1756.01
mediana 1 57.16 178 1698.85 4.026e-14
flor 5 438.54 173 1260.31 1.455e-92
mediana:flor 5 23.78 168 1236.54 2.397e-04
Aqui mostra que há efeito da profundidae, da floresta e há interação.
Uma forma de apresentar os dados é com um gráfico de dispersão diferenciando as florestas
Sugestão de Gráfico:
attach(profund) ## anexa o objeto profund, as variáveia podem ser solicitadas direto
Rud←split(abundR,flor) ## separa abundacia por floresta
prof←split(mediana,flor) ## separa profundidade por floresta
plot(mediana,abundR,type=“n”) ## cria um grafico base sem os pontos
points(prof[ [1] ],Rud[ [1] ], pch=16, col=“red”)
points(prof[ [2] ],Rud[ [2] ], pch=15, col=“blue”)
points(prof[ [3] ],Rud[ [3] ], pch=17, col=“green”)
points(prof[ [4] ],Rud[ [4] ], pch=1)
points(prof[ [5] ],Rud[ [5] ], pch=2, col=“red”)
points(prof[ [6] ],Rud[ [6] ], pch=3, col=“blue”)
Profundidade Serrapilheira x Densidade Rudgea (11/12 Cris)
Os resultados encontrados são iguais aos que eu obtive rodando o modelo, diferentes do que tu postou:
read.table(“profund_abund_wiki.txt”, header=TRUE, sep=“\t”)→serap.wiki
str(serap.wiki)'data.frame': 180 obs. of 5 variables: $ flor : int 1 1 1 1 1 1 1 1 1 1 ... $ parc : int 1 2 3 4 5 6 7 8 9 10 ... $ mediana: num 2.75 4.45 4.1 2.9 3.55 2.8 3.45 5.8 4.9 5.25 ... $ abundG : int 0 0 1 1 0 0 0 0 0 0 ... $ abundR : int 2 4 0 0 2 0 0 1 4 3 ...
glm(abundR~mediana*flor, data=serap.wiki, family=poisson)→glm1.wiki
summary(glm1.wiki)
Call:
glm(formula = abundR ~ mediana * flor, family = poisson, data = serap.wiki)
Deviance Residuals:
Min 1Q Median 3Q Max
-4.2719 -2.5015 -1.3159 0.5456 12.6031
Coefficients:
Estimate Std. Error z value Pr(>|z|)
(Intercept) 1.855927 0.166008 11.180 < 2e-16 ***
mediana -0.051053 0.032323 -1.579 0.114229
flor 0.136379 0.040360 3.379 0.000727 ***
mediana:flor -0.005402 0.008893 -0.607 0.543566
---
Signif. codes: 0 ‘***’ 0.001 ‘**’ 0.01 ‘*’ 0.05 ‘.’ 0.1 ‘ ’ 1
(Dispersion parameter for poisson family taken to be 1)
Null deviance: 1756.0 on 179 degrees of freedom
Residual deviance: 1647.6 on 176 degrees of freedom
AIC: 2195
Number of Fisher Scoring iterations: 6
glm(abundR~mediana+flor, data=serap.wiki, family=poisson)→glm2.wiki
summary(glm2.wiki)
Call:
glm(formula = abundR ~ mediana + flor, family = poisson, data = serap.wiki)
Deviance Residuals:
Min 1Q Median 3Q Max
-4.3216 -2.5011 -1.3284 0.5507 12.6067
Coefficients:
Estimate Std. Error z value Pr(>|z|)
(Intercept) 1.93467 0.10368 18.660 < 2e-16 ***
mediana -0.06926 0.01232 -5.621 1.90e-08 ***
flor 0.11397 0.01645 6.927 4.29e-12 ***
---
Signif. codes: 0 ‘***’ 0.001 ‘**’ 0.01 ‘*’ 0.05 ‘.’ 0.1 ‘ ’ 1
(Dispersion parameter for poisson family taken to be 1)
Null deviance: 1756.0 on 179 degrees of freedom
Residual deviance: 1647.9 on 177 degrees of freedom
AIC: 2193.3
Number of Fisher Scoring iterations: 6
anova(glm1.wiki, glm2.wiki, test=“Chi”)
Analysis of Deviance Table Model 1: abundR ~ mediana * flor Model 2: abundR ~ mediana + flor Resid. Df Resid. Dev Df Deviance P(>|Chi|) 1 176 1647.57 2 177 1647.94 -1 -0.37 0.54
Ao comparar os dois modelos não dá significativo, será que fiz algo errado? Vou postar o arquivo que usei aqui
Dicas para ajustar os gráficos
Simbolos que são chamados com o argumento pch=
Para ver as opções de nome e número de cores:
colors()
para mudar o tamanho dos símbolos no gráfico use o argumento (dentro de points() ou plot())
cex=0.5 ## reduz o tamanho do símbolo pela metade
cex=2 ## duplica o tamanho…
gráfico crescimento
read.table( “cresc.txt”, header=TRUE, sep=“\t” )→cresc
cresc$frag.num=factor(paste("frag",cresc$frag, sep=“”))
##cria uma coluna frag.num como um vetor categorico
cresc$frag.num[1] frag1 frag1
Calculando as médias de crescimentos para cada espécie por fragmento
tapply(cresc$alt,list(cresc$sp,frag.num),mean, na.rm=TRUE)
frag1 frag2 frag3 frag4 frag5 frag6 G -0.0003804818 -0.0001735641 -2.040807e-04 -0.0001661682 -2.874465e-04 -0.0001614597 R -0.0001372992 -0.0001526917 -8.729073e-05 -0.0001585723 -2.651105e-05 -0.0001055983
Selecionando dados de Rudgea
crescR=cresc[cresc$sp==“R”,]
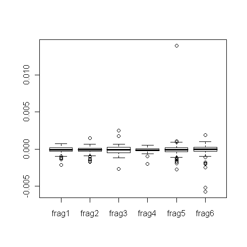
barplot(tapply(crescR$alt,crescR$frag.num,mean,na.rm=T))
x11() ##abre outra janela gráfica
plot(crescR$alt~crescR$frag.num)
Acho que os dados estão estranhos, as médias são sempre negativas. Precisamos conferir os cálculos. Se foi pelo crescimento relativo log(alt2)-log(alt1)/t2-t1 , o crescimento é negativo para todos… De qq forma essa formula não pode ser usada para número de folhas e não consigo entender os valores nesse caso. Como são contagens, devemos fazer a diferença simples. A escala temporal é um problema tb. Se os calculos de crescimento foram por dia, devemos usar por mês ou por ano, para termos valores maiores.
(Cris 07/12): postei uns comentários lá onde temos feito a discussão e vou conferir os cálculos a partir de agora. Obrigada…
Dap ~ alt * frag
Estou modelando a distribuição de diâmetro com a altura e o fragmento, tb em um modelo de ancova. Note que temos alguns pressupostos que não conferem com os dados, como a independência entrea as medidas de dap, já que temos um censo em cada uma das áreas. Não sei ainda como lidar com isso, mas a principio ficamos com essas análises.
Gráfico
SCRIPT Gráfico
rud.dap=read.table( “rud_estr_dap_pap.txt”,header=T, sep=“\t”)
attach(rud.dap)
plot(alt,DAPfinal,pch=as.numeric(frag),col=as.numeric(frag),cex=.25)
abline(lm(DAPfinal[frag==unique(frag)[1]]~alt[frag==unique(frag)[1]]),col=1,lty=2)
abline(lm(DAPfinal[frag==unique(frag)[2]]~alt[frag==unique(frag)[2]]),col=2,lty=2)
abline(lm(DAPfinal[frag==unique(frag)[3]]~alt[frag==unique(frag)[3]]),col=3,lty=2)
abline(lm(DAPfinal[frag==unique(frag)[3]]~alt[frag==unique(frag)[3]]),col=3,lty=2)
abline(lm(DAPfinal[frag==unique(frag)[4]]~alt[frag==unique(frag)[4]]),col=4,lty=2)
abline(lm(DAPfinal[frag==unique(frag)[5]]~alt[frag==unique(frag)[5]]),col=5,lty=2)
abline(lm(DAPfinal[frag==unique(frag)[6]]~alt[frag==unique(frag)[6]]),col=6,lty=2)
Seleção de Modelo
Acho que aqui devemos caminhar no sentido de entender se as relacões alométricas (dap x alt) são diferentes entre fragmentos. Não sei se essa é a melhor forma de fazê-lo, geralmente é utilizadas relações exponeciais ou log entre as variáveis… o que sugere?
lm(DAPfinal~alt, data=rud.dap)→lm.rud1
summary(lm.rud1)
<box 80% round green>
Call:
lm(formula = DAPfinal ~ alt, data = rud.dap)
Residuals:
Min 1Q Median 3Q Max
-52.402 -9.242 -2.495 6.641 89.516
Coefficients:
Estimate Std. Error t value Pr(>|t|)
(Intercept) -13.8372 1.5315 -9.035 <2e-16 ***
alt 11.1721 0.3006 37.167 <2e-16 ***
---
Signif. codes: 0 ‘***’ 0.001 ‘**’ 0.01 ‘*’ 0.05 ‘.’ 0.1 ‘ ’ 1
Residual standard error: 15.97 on 874 degrees of freedom
Multiple R-squared: 0.6125, Adjusted R-squared: 0.612
F-statistic: 1381 on 1 and 874 DF, p-value: < 2.2e-16
</box>
anova(lm.rud1)
Analysis of Variance Table
Response: DAPfinal
Df Sum Sq Mean Sq F value Pr(>F)
alt 1 352369 352369 1381.4 < 2.2e-16 ***
Residuals 874 222946 255
---
Signif. codes: 0 ‘***’ 0.001 ‘**’ 0.01 ‘*’ 0.05 ‘.’ 0.1 ‘ ’ 1
lm(DAPfinal~alt*frag, data=rud.dap)→lm.rud2
summary(lm.rud2)
Call:
lm(formula = DAPfinal ~ alt * frag, data = rud.dap)
Residuals:
Min 1Q Median 3Q Max
-49.842 -8.220 -2.004 6.298 68.331
Coefficients:
Estimate Std. Error t value Pr(>|t|)
(Intercept) -18.0563 6.6010 -2.735 0.00636 **
alt 14.5594 0.9708 14.998 < 2e-16 ***
fragjea 6.5317 9.9836 0.654 0.51313
fragmed 10.4743 7.3344 1.428 0.15362
fragodo 11.2698 7.5957 1.484 0.13825
fragosa 5.5641 8.7745 0.634 0.52617
fragteo 10.4928 6.9636 1.507 0.13222
alt:fragjea -3.9863 2.0292 -1.964 0.04980 *
alt:fragmed -5.2077 1.1483 -4.535 6.57e-06 ***
alt:fragodo -4.7221 1.1820 -3.995 7.02e-05 ***
alt:fragosa -2.9031 1.4441 -2.010 0.04472 *
alt:fragteo -5.5009 1.0894 -5.049 5.40e-07 ***
---
Signif. codes: 0 ‘***’ 0.001 ‘**’ 0.01 ‘*’ 0.05 ‘.’ 0.1 ‘ ’ 1
Residual standard error: 14.7 on 864 degrees of freedom
Multiple R-squared: 0.6754, Adjusted R-squared: 0.6712
F-statistic: 163.4 on 11 and 864 DF, p-value: < 2.2e-16
anova(lm.rud2)
Analysis of Variance Table
Response: DAPfinal
Df Sum Sq Mean Sq F value Pr(>F)
alt 1 352369 352369 1630.0422 < 2.2e-16 ***
frag 5 29832 5966 27.6001 < 2.2e-16 ***
alt:frag 5 6342 1268 5.8679 2.423e-05 ***
Residuals 864 186772 216
---
Signif. codes: 0 ‘***’ 0.001 ‘**’ 0.01 ‘*’ 0.05 ‘.’ 0.1 ‘ ’ 1
anova(lm.rud2,lm.rud1)
Analysis of Variance Table Model 1: DAPfinal ~ alt * frag Model 2: DAPfinal ~ alt Res.Df RSS Df Sum of Sq F Pr(>F) 1 864 186772 2 874 222946 -10 -36174 16.734 < 2.2e-16 *** --- Signif. codes: 0 ‘***’ 0.001 ‘**’ 0.01 ‘*’ 0.05 ‘.’ 0.1 ‘ ’ 1
Modelos log transformados
lm(log(DAPfinal)~log(alt)*frag, data=rud.dap)→lm.logrud1
summary(lm.logrud1)
Call:
lm(formula = log(DAPfinal) ~ log(alt) * frag, data = rud.dap)
Residuals:
Min 1Q Median 3Q Max
-1.42435 -0.24614 -0.02430 0.22004 1.82399
Coefficients:
Estimate Std. Error t value Pr(>|t|)
(Intercept) 1.82668 0.25095 7.279 7.56e-13 ***
log(alt) 1.31346 0.13487 9.738 < 2e-16 ***
fragjea -0.10721 0.33039 -0.325 0.746
fragmed -0.17062 0.26984 -0.632 0.527
fragodo -0.01366 0.27849 -0.049 0.961
fragosa -0.45413 0.31831 -1.427 0.154
fragteo -0.09108 0.25938 -0.351 0.726
log(alt):fragjea -0.11834 0.20555 -0.576 0.565
log(alt):fragmed -0.11012 0.14889 -0.740 0.460
log(alt):fragodo -0.16631 0.15375 -1.082 0.280
log(alt):fragosa 0.14805 0.18135 0.816 0.414
log(alt):fragteo -0.19192 0.14258 -1.346 0.179
---
Signif. codes: 0 ‘***’ 0.001 ‘**’ 0.01 ‘*’ 0.05 ‘.’ 0.1 ‘ ’ 1
Residual standard error: 0.3406 on 864 degrees of freedom
Multiple R-squared: 0.7016, Adjusted R-squared: 0.6978
F-statistic: 184.7 on 11 and 864 DF, p-value: < 2.2e-16
lm(log(DAPfinal)~log(alt)+frag, data=rud.dap)→lm.logrud2 summary(lm.logrud2)
Call:
lm(formula = log(DAPfinal) ~ log(alt) + frag, data = rud.dap)
Residuals:
Min 1Q Median 3Q Max
-1.43691 -0.24302 -0.02863 0.21794 1.80429
Coefficients:
Estimate Std. Error t value Pr(>|t|)
(Intercept) 2.07229 0.06986 29.664 < 2e-16 ***
log(alt) 1.17963 0.03067 38.468 < 2e-16 ***
fragjea -0.33192 0.06530 -5.083 4.55e-07 ***
fragmed -0.38009 0.04903 -7.752 2.53e-14 ***
fragodo -0.31083 0.05119 -6.072 1.89e-09 ***
fragosa -0.25518 0.05973 -4.272 2.15e-05 ***
fragteo -0.41596 0.04736 -8.783 < 2e-16 ***
---
Signif. codes: 0 ‘***’ 0.001 ‘**’ 0.01 ‘*’ 0.05 ‘.’ 0.1 ‘ ’ 1
Residual standard error: 0.3413 on 869 degrees of freedom
Multiple R-squared: 0.6988, Adjusted R-squared: 0.6967
F-statistic: 336 on 6 and 869 DF, p-value: < 2.2e-16
Grafico do modelo log
attach(rud.dap)
plot(log(alt),log(DAPfinal),pch=as.numeric(frag),col=as.numeric(frag),cex=.25)
abline(lm(log(DAPfinal[frag==unique(frag)[1]])~log(alt[frag==unique(frag)[1]])),col=1,lty=2)
abline(lm(log(DAPfinal[frag==unique(frag)[2]])~log(alt[frag==unique(frag)[2]])),col=2,lty=2)
abline(lm(log(DAPfinal[frag==unique(frag)[3]])~log(alt[frag==unique(frag)[3]])),col=3,lty=2)
abline(lm(log(DAPfinal[frag==unique(frag)[4]])~log(alt[frag==unique(frag)[4]])),col=4,lty=2)
abline(lm(log(DAPfinal[frag==unique(frag)[5]])~log(alt[frag==unique(frag)[5]])),col=5,lty=2)
abline(lm(log(DAPfinal[frag==unique(frag)[6]])~log(alt[frag==unique(frag)[6]])),col=6,lty=2)
Cris, verifique como é tratada a relação alométrica entre diâmetro e altura de árvores
Ale, é isso mesmo, o log de ambas medidas geralmente é o que explica melhor as relações, vou postar um artigo qe mostra isso
Estrutura Comunidade
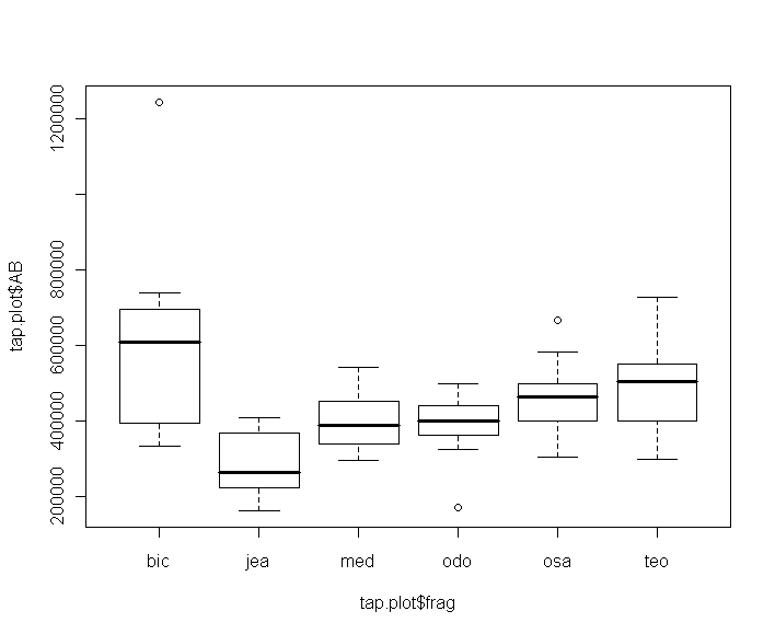
Por enquanto vamos apenas analisar a estrutura pela Área Basal que pode ser considerado um indicador do estágio sucessional ere
Primeiro vamos ver se há diferenças entre os fragmentos
parece concordar com a sua classificação
lm(tap.plot$AB~tap.plot$frag)→lm.tapAB1 summary(lm.tapAB1)
Call:
lm(formula = tap.plot$AB ~ tap.plot$frag)
Residuals:
Min 1Q Median 3Q Max
-277149 -66714 -2902 65552 631314
Coefficients:
Estimate Std. Error t value Pr(>|t|)
(Intercept) 610684 44593 13.695 < 2e-16 ***
tap.plot$fragjea -329872 63064 -5.231 2.82e-06 ***
tap.plot$fragmed -208611 63064 -3.308 0.001677 **
tap.plot$fragodo -225860 63064 -3.581 0.000733 ***
tap.plot$fragosa -142449 63064 -2.259 0.027956 *
tap.plot$fragteo -131313 63064 -2.082 0.042074 *
---
Signif. codes: 0 ‘***’ 0.001 ‘**’ 0.01 ‘*’ 0.05 ‘.’ 0.1 ‘ ’ 1
Residual standard error: 141000 on 54 degrees of freedom
Multiple R-squared: 0.3633, Adjusted R-squared: 0.3043
F-statistic: 6.163 on 5 and 54 DF, p-value: 0.0001379
Tirei um outlier
lm(tap.plot$AB[-53]~tap.plot$frag[-53])→lm.tapAB2 summary(lm.tapAB2)
Call:
lm(formula = tap.plot$AB[-53] ~ tap.plot$frag[-53])
Residuals:
Min 1Q Median 3Q Max
-213133 -66499 3688 66449 247477
Coefficients:
Estimate Std. Error t value Pr(>|t|)
(Intercept) 540538 36370 14.862 < 2e-16 ***
tap.plot$frag[-53]jea -259726 50132 -5.181 3.5e-06 ***
tap.plot$frag[-53]med -138465 50132 -2.762 0.00788 **
tap.plot$frag[-53]odo -155714 50132 -3.106 0.00304 **
tap.plot$frag[-53]osa -72303 50132 -1.442 0.15512
tap.plot$frag[-53]teo -61167 50132 -1.220 0.22782
---
Signif. codes: 0 ‘***’ 0.001 ‘**’ 0.01 ‘*’ 0.05 ‘.’ 0.1 ‘ ’ 1
Residual standard error: 109100 on 53 degrees of freedom
Multiple R-squared: 0.3866, Adjusted R-squared: 0.3287
F-statistic: 6.68 on 5 and 53 DF, p-value: 6.832e-05
Resolvi manter o outlier, ja que não faz muita difnça
anova(lm.tapAB1)
Analysis of Variance Table
Response: tap.plot$AB
Df Sum Sq Mean Sq F value Pr(>F)
tap.plot$frag 5 6.1271e+11 1.2254e+11 6.1625 0.0001379 ***
Residuals 54 1.0738e+12 1.9885e+10
---
Signif. codes: 0 ‘***’ 0.001 ‘**’ 0.01 ‘*’ 0.05 ‘.’ 0.1 ‘ ’ 1
anova(lm.tapAB2)
Analysis of Variance Table
Response: tap.plot$AB[-53]
Df Sum Sq Mean Sq F value Pr(>F)
tap.plot$frag[-53] 5 3.9764e+11 7.9528e+10 6.6803 6.832e-05 ***
Residuals 53 6.3096e+11 1.1905e+10
---
Signif. codes: 0 ‘***’ 0.001 ‘**’ 0.01 ‘*’ 0.05 ‘.’ 0.1 ‘ ’ 1
Resolvi manter o outlier, já que não faz muita diferença
Crescimento das espécies x AB da Floresta
criei um arquivo com os dados de crescimento médio por espécies e a mediana (por plot) da área basal nas florestas
cresc.AbG R AB frag bic 0.1696250 0.7404478 609426.2 bic jea 2.4392000 1.8516000 264641.9 jea med 1.0723053 0.8254663 389280.6 med odo 0.9169773 1.3836642 400835.5 odo osa 2.0959897 1.4284844 463501.2 osa teo 0.6798598 0.7070391 502704.4 teo
lm(cresc.Ab$G~cresc.Ab$AB)→lm.cresc.G
lm(cresc.Ab$R~cresc.Ab$AB)→lm.cresc.R
summary(lm.cresc.R)
Call:
lm(formula = cresc.Ab$R ~ cresc.Ab$AB)
Residuals:
1 2 3 4 5 6
0.1029 0.1686 -0.4796 0.1136 0.3485 -0.2541
Coefficients:
Estimate Std. Error t value Pr(>|t|)
(Intercept) 2.485e+00 5.916e-01 4.201 0.0137 *
cresc.Ab$AB -3.032e-06 1.311e-06 -2.312 0.0818 .
---
Signif. codes: 0 ‘***’ 0.001 ‘**’ 0.01 ‘*’ 0.05 ‘.’ 0.1 ‘ ’ 1
Residual standard error: 0.342 on 4 degrees of freedom
Multiple R-squared: 0.572, Adjusted R-squared: 0.4651
F-statistic: 5.347 on 1 and 4 DF, p-value: 0.08183
summary(lm.cresc.G)
Call:
lm(formula = cresc.Ab$G ~ cresc.Ab$AB)
Residuals:
1 2 3 4 5 6
-0.08999 0.22536 -0.43508 -0.52492 1.00928 -0.18465
Coefficients:
Estimate Std. Error t value Pr(>|t|)
(Intercept) 3.714e+00 1.086e+00 3.420 0.0268 *
cresc.Ab$AB -5.668e-06 2.407e-06 -2.355 0.0781 .
---
Signif. codes: 0 ‘***’ 0.001 ‘**’ 0.01 ‘*’ 0.05 ‘.’ 0.1 ‘ ’ 1
Residual standard error: 0.6278 on 4 degrees of freedom
Multiple R-squared: 0.5809, Adjusted R-squared: 0.4762
F-statistic: 5.545 on 1 and 4 DF, p-value: 0.0781
plot(cresc.Ab$R~cresc.Ab$AB)
abline(lm.cresc.R)
Apesar de não significativo (nosso n é baixo) há uma tendência clara
Transformação log da variável dependente
PARA GRAUPIRA É SIGNIFICATIVO QUANDO TRANSFORMADO A VARIÁVEL REPOSTA EM LOG
lm(log(cresc.Ab$G)~cresc.Ab$AB)→lm.logG
summary(lm.logG)
Call:
lm(formula = log(cresc.Ab$G) ~ cresc.Ab$AB)
Residuals:
1 2 3 4 5 6
-0.5149 -0.2045 -0.1749 -0.2524 1.0024 0.1443
Coefficients:
Estimate Std. Error t value Pr(>|t|)
(Intercept) 2.904e+00 1.033e+00 2.811 0.0483 *
cresc.Ab$AB -6.832e-06 2.290e-06 -2.984 0.0406 *
---
Signif. codes: 0 ‘***’ 0.001 ‘**’ 0.01 ‘*’ 0.05 ‘.’ 0.1 ‘ ’ 1
Residual standard error: 0.5973 on 4 degrees of freedom
Multiple R-squared: 0.69, Adjusted R-squared: 0.6124
F-statistic: 8.902 on 1 and 4 DF, p-value: 0.0406
anova(lm.logG)
Analysis of Variance Table
Response: log(cresc.Ab$G)
Df Sum Sq Mean Sq F value Pr(>F)
cresc.Ab$AB 1 3.1753 3.1753 8.9015 0.0406 *
Residuals 4 1.4268 0.3567
---
Signif. codes: 0 ‘***’ 0.001 ‘**’ 0.01 ‘*’ 0.05 ‘.’ 0.1 ‘ ’ 1
lm(log(cresc.Ab$R)~cresc.Ab$AB)→lm.logR
anova(lm.logR)
Analysis of Variance Table
Response: log(cresc.Ab$R)
Df Sum Sq Mean Sq F value Pr(>F)
cresc.Ab$AB 1 0.44787 0.44787 4.7581 0.0946 .
Residuals 4 0.37651 0.09413
---
Signif. codes: 0 ‘***’ 0.001 ‘**’ 0.01 ‘*’ 0.05 ‘.’ 0.1 ‘ ’ 1








