Modelo Linear Misto - lme
Análise de Dados
10 de novembro 2009
Estou fazendo as análises com modelos mistos, utilizando o pacote nlms no R. Preciso definir quais os fatores randomicos do modelo. A principio são os dias/blocos
lme(logmassa ~ dias + flor * amb * fauna, random= ~1|bloco)->lme.bloco
##modelo total levando em conta o fator randomico bloco
lm(lgmassa ~ dias + flor * amb * fauna, data=decomp)->lm.decomp ## modelo simples
anova(lme.all,lm.decomp)
RESULTADO
| Model | df | AIC | BIC | logLik | Test | L.Ratio | p-value | |
|---|---|---|---|---|---|---|---|---|
| lme.all | 1 | 16 | 265.9761 | 318.9874 | -116.9881 | |||
| lm.decomp | 2 | 14 | 263.3403 | 309.7252 | -117.6702 | 1 vs 2 | 1.364197 | 0.5056 |
## não há acrescimo de informação pelo incorporação do bloco. Cuidado! o bloco é um fator que na realidade só diminiui o erro e aumenta o poder do teste.
## as análises deverão levar em consideração o bloco, entretanto os graficos serão feitos com o decaimento do modelo (k)
k para modelo não linear
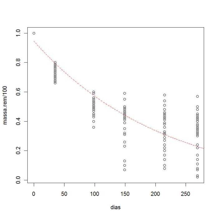
nls.k1=nls(I(massa.rem/100)~a+exp(k*dias),start=list(a=0.1, k=-.004),data=decomp)
é preciso incluir um valor de iniciação do k, aqui o modelo prevê uma estimativa de intercepto, parece melhor!
summary(nls.k1)
Formula: I(massa.rem/100) ~ a + exp(k * dias) Parameters: ^^Estimate ^ Std. Error ^t^ value Pr(>|t|)^ | a | -0.0550089 | 0.0161366 | -3.409 0.000779| | k | -0.0046770 | 0.0002649 | -17.655 | < 2e-16| --- Signif. codes: 0 ‘***’ 0.001 ‘**’ 0.01 ‘*’ 0.05 ‘.’ 0.1 ‘ ’ 1 Residual standard error: 0.1134 on 214 degrees of freedom Number of iterations to convergence: 8 Achieved convergence tolerance: 5.045e-06
Gráfico base
plot(massa.rem/100~dias, data=decomp)
exp.fit=function(x,a,k){a+exp(k*x)}
curve(exp.fit(x,-0.0550089,-0.0046770), from=0, to=300, col="red",lty=2, add=TRUE)
pode ser feito direto:
curve(a+exp(k*x), from=0, to=300, col="red",lty=2, add=TRUE)
GRÁFICO COM OS TRATAMENTOS POR FLORESTA
coplot(massa.rem/100~dias| amb+fauna, data=decomp[decomp$flor== unique(decomp$flor)[1],])
Floresta Estacional Semidecidual
coplot(massa.rem/100~dias| amb+fauna, data=decomp[decomp$flor== unique(decomp$flor)[2],])
Floresta Altântica - PECB
coplot(massa.rem/100~dias| amb+fauna, data=decomp[decomp$flor== unique(decomp$flor)[3],])
Floresta de Restinga- PEIC
Graficos pelos tratamento por ambiente
- Fator Ambiente de Decomposição
coplot(massa.rem/100~dias| flor+fauna, data=decomp[decomp$amb== unique(decomp$amb)[1],])
Ambiente de decomposição serrapilheira
Ambiente de decomposição de raizes
coplot(massa.rem/100~dias| flor+fauna, data=decomp[decomp$amb== unique(decomp$amb)[1],])
CALCULAR O K PARA cada nivel de tratamento
Função do R
k.calc=function(dados=decomp)
{
library(nlme)
unico.flor=unique(dados$flor)
unico.bloco=unique(dados$bloco)
unico.amb=unique(dados$amb)
unico.fauna=unique(dados$fauna)
##resulta=matrix(NA,ncol=10, nrow=24)
floresta =ambiente=exclfauna= blocorand= coefa = coefk= a5 =k5= a95= k95=r2=rep(NA,24)
u=0
for (f in 1: length(unico.flor))
{
flor1=dados[dados$flor==unico.flor[f],]
for (j in 1: length(unico.amb))
{
amb1=flor1[flor1$amb==unico.amb[j],]
for (h in 1: length(unico.fauna))
{
fauna1=amb1[amb1$fauna==unico.fauna[h],]
for(i in 1:length(unico.bloco))
{
u=u+1
bloco1=fauna1[fauna1$bloco==unico.bloco[i],]
nls.k1=nls(I(massa.rem/100)~a*exp(k*dias),start=list(a=1, k=-.004),data=bloco1)
lm.k1=lm(I(massa.rem/100)~1,data=bloco1)
ssres.nls=sum(resid(nls.k1)^2)
ssres.lm=sum(resid(lm.k1)^2)
r2[u]=(ssres.lm-ssres.nls)/ssres.lm
floresta[u]=unico.flor[f]
ambiente[u]=unico.amb[j]
exclfauna[u]=unico.fauna[h]
blocorand[u]=unico.bloco[i]
coefa[u]=coef(nls.k1)[1]
coefk[u]=coef(nls.k1)[2]
a5=confint(nls.k1)[1]
k5=confint(nls.k1)[2]
a95=confint(nls.k1)[3]
k95=confint(nls.k1)[4]
}
}
}
}
resulta=data.frame(cbind(floresta,ambiente,exclfauna,blocorand,r2,coefa,coefk,a5=as.numeric(a5),k5=as.numeric(k5), a95=as.numeric(a95),k95=as.numeric(k95)))
return(resulta)
}
Para calcular agora é só usar a função
k.calc(decomp)->decomp.k
Estou tendo problemas com a função, as variáveis numerica estão saindo como fatores (10 novembro de 2008)
Resultado do Modelo Misto
Deve antes de iniciar a modelagem baixa o pacote nlme
library(nlme)
Modelando todas os fatores na decomposição:
lme.decomp=lme(lgmassa~dias+as.factor(flor)*as.factor(amb)*as.factor(fauna),random=~dias|bloco, data=decomp) anova(lme.decomp)
| numDF | denDF | F-value | p-value | |
|---|---|---|---|---|
| (Intercept) | 1 | 202 | 13267.795 | <.0001 |
| dias | 1 | 202 | 73.801 | <.0001 |
| as.factor(flor) | 2 | 202 | 7.804 | 0.0005 |
| as.factor(amb) | 1 | 202 | 6.602 | 0.0109 |
| as.factor(fauna) | 1 | 202 | 32.659 | <.0001 |
| as.factor(flor):as.factor(amb) | 2 | 202 | 1.523 | 0.2205 |
| as.factor(flor):as.factor(fauna) | 2 | 202 | 3.477 | 0.0328 |
| as.factor(amb):as.factor(fauna) | 1 | 202 | 6.399 | 0.0122 |
| as.factor(flor):as.factor(amb):as.factor(fauna) | 2 | 202 | 1.497 | 0.2264 |





